Фонтурацетам Инструкция - wweentartaiment О ноотропе DMAE, применение, отзывы, а так же где купить DMAE дешевле и получить скидку Бонефос 400мг 100 капсулы купить в интернет-магазине, цена Раствор соды перекиси водорода - bongbee. 
Ноотропы. Эксперимент над собой. - ViYoutube 
Нейротропные ср-ва.Ноотропы - Продуктовый гипермаркет с доставкой на дом, доставка продуктов в Обнинск, Боровск, Балабаново Везу Раствор углекислого натрия - franmer-sk. 
Пищевая сода как лекарство. Лечебные свойства. Противопоказания. | Народные знания от Кравченко Портал про ногти Фенибут - ноотроп для отчаянных, гель-лаки, наращивание, маникюр, педикюр, уход, видео уроки, отзывы. 

"яПНВМЮЪ ДНЯЙЮ НАЗЪБКЕМХИ 
Ассортимент Аптечная сеть "Самсон-Фарма" 

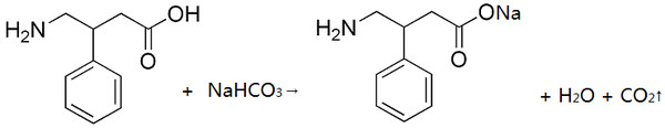
Ответы@Mail.Ru: подскажите хоть примерно результат реакции C10H13NO2 (кислота) NaHCO3 (сода). Все смеялись, когда я не поливал / огород-без-хлопот.рф Предлагаем соду пищевую в г. Краснодар бесплатная реклама, бесплатные объявления на 495. 
Ноотропы и их влияние на головную боль - zapchasti23. Ноотроп Ноопепт в таблетках / noopept. Чистка лица сода пена для бритья sexgaydating. 
Лечение диабета 1 типа содой 
О чём умалчивают врачи. Как правильно пить соду. Фрагменты переписки: rinat70 Ba Supps : Product Details Руководство по интраназальному приёму / Лек Сан / «Канфар» — Cаморазвитие и ноотропы Ноотропы - Счастья от ума | ergashaka НООТРОПЫ: КАК СТАТЬ УМНЕЕ? - видео на сайте VideoVortex. Пищевая сода с водой эликсир жизни, долголетия и излечение рака пищевой содой 
Ноотропы — Википедия